Schwarzschild Metrik, sphärische Raindrop/Gullstrand–Painlevé Koordinaten
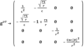
gᵤᵧ
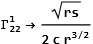
Γᵒᵤᵧ
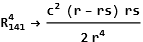
Řᵤᵧ
K
ẍᵘ
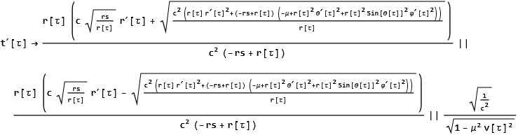
ṫ
pᵤ
v
⊞
Input 1:
Output 1:
Input 2:
Output 2:
Input 3:
Output 3:
![if image doesn't load refresh with [F5] or force refresh with [ctrl]/[strg]+[F5]](a/08_11.png) |
![if image doesn't load refresh with [F5] or force refresh with [ctrl]/[strg]+[F5]](a/08_12.png) |
![if image doesn't load refresh with [F5] or force refresh with [ctrl]/[strg]+[F5]](a/08_13.png) |
![if image doesn't load refresh with [F5] or force refresh with [ctrl]/[strg]+[F5]](a/08_14.png) |
![if image doesn't load refresh with [F5] or force refresh with [ctrl]/[strg]+[F5]](a/08_15.png) |
![if image doesn't load refresh with [F5] or force refresh with [ctrl]/[strg]+[F5]](a/08_16.png) |
![if image doesn't load refresh with [F5] or force refresh with [ctrl]/[strg]+[F5]](a/08_17.png) |
![if image doesn't load refresh with [F5] or force refresh with [ctrl]/[strg]+[F5]](a/08_18.png) |
→-r+rs |
![if image doesn't load refresh with [F5] or force refresh with [ctrl]/[strg]+[F5]](a/08_20.png) |
![if image doesn't load refresh with [F5] or force refresh with [ctrl]/[strg]+[F5]](a/08_21.png) |
→-Cos[θ] Sin[θ] |
![if image doesn't load refresh with [F5] or force refresh with [ctrl]/[strg]+[F5]](a/08_23.png) |
→Cot[θ] |
Output 4:
Input 5:
Output 5:
Input 6:
Output 6:
Input 7:
Output 7:
Input 8:
Output 8:
Input 9:
Output 9:
Input 10:
Output 10:
Input 11:
Output 11:
Input 12:
Output 12:
Modus:

Input A:
Output A:
Input B:
Output B:
Mehr:
![if image doesn't load refresh with [F5] or force refresh with [ctrl]/[strg]+[F5]](z/stdgr_1.png)