Schwarzschild Metrik, sphärische Eddington-Finkelstein Koordinaten (G=M=c=1)
gᵤᵧ
Γᵒᵤᵧ
Řᵤᵧ
K
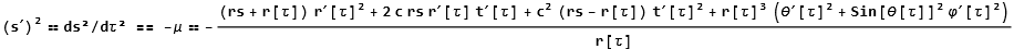
ẍᵘ
ṫ
pᵤ
v
⊞
Input 1:
Output 1:
Input 2:
Output 2:
Input 3:
Output 3:

|

|

|

|

|

|

|

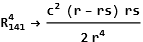
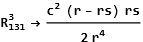
|
→-r+rs
|

|

|
→-Cos[θ] Sin[θ]
|

|
→Cot[θ] |
Input 4:
Output 4:
Input 5:
Output 5:
Input 6:
Output 6:
Input 7:
Output 7:
Input 8:
Output 8:
Input 9:
Output 9:
Input 10:
Output 10:
Input 11:
Output 11:
Input 12:
Output 12:
Modus:

Mehr:
![if image doesn't load refresh with [F5] or force refresh with [ctrl]/[strg]+[F5]](z/stdgr_1.png)
![if image doesn't load refresh with [F5] or force refresh with [ctrl]/[strg]+[F5]](z/t.d.f_1.png)